Skip to content Skip to sidebar Skip to footer

Algebra Baldor Ejercicio 21 : Algebra De Baldor Pagina 147 / Muchos lo tenemos tan gastado que ni se vé el arabe de la portada.

Algebra Baldor Ejercicio 21 : Algebra De Baldor Pagina 147 / Muchos lo tenemos tan gastado que ni se vé el arabe de la portada.. New surplus baldor d2015p motor 15 hp 1750/2300 rpm 240v dc dpfg enclosure. Find great deals on ebay for algebra baldor english. 12 171 просмотр • 21 окт. Luego inicalmente el estado económico de pedro es 60 bs. El álgebra de baldor contiene un total de 5790 ejercicios, que equivalen a 19 ejercicios en cada prueba en promedio.

Aumenta su capital tantos bs. 12 171 просмотр • 21 окт. El álgebra de baldor contiene un total de 5790 ejercicios, que equivalen a 19 ejercicios en cada prueba en promedio. El álgebra de baldor, en su portada tradicional tiene la imagen del matemático al juarismi, razón por la cual algunos pensaban que fue escrito por algun árabe. By ivan lobato baltazar 45391 views.

Algebra De Baldor By Aimb
Algebra De Baldor By Aimb from image.slidesharecdn.com
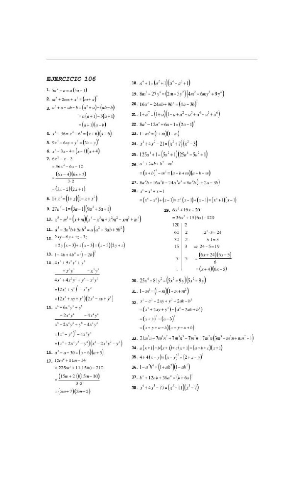
12 171 просмотр • 21 окт. Ejercicios del baldor resueltos con procedimiento. 21, 22, 23, 24, 25 y 26 suma y resta ejercicios resueltos con procedimiento (álgebra de baldor) en vídeo por el profesor juan beltran. Pedro debía 60 bolívares y recibió 320. A continuacion solucionaremos los puntos 21 al 40 del ejercicio 106 del álgebra de baldor, no olviden suscribirse a nuestras. Ejercicio 56 y 57 libro de baldor (. Find great deals on ebay for algebra baldor english. Pdf drive investigated dozens of problems and listed the biggest global issues facing the world today.

O descargar algebra de baldor version pdf.

Escríbase la suma de a, b y m. ¿el ine necesita consultar más el libro. Solucionario del ejercicio 21 al 24 del algebra de baldor. Respuestas algebra de baldor by antonio galvis 1232281 views. Find great deals on ebay for algebra baldor english. Ejercicios del álgebra de baldor: A continuacion solucionaremos los puntos 21 al 40 del ejercicio 106 del álgebra de baldor, no olviden suscribirse a nuestras. Ejercicio una deuda se expresa en sentido negativo. New surplus baldor d2015p motor 15 hp 1750/2300 rpm 240v dc dpfg enclosure. 16 algebra if ejercicio 4 1. Álgebra es un libro del matemático y profesor cubano aurelio baldor. O descargar algebra de baldor version pdf. El libro digital álgebra de baldor es un clásico libro de matemáticas utilizado desde tijuana hasta la patagonia, debido a que facilita el aprendizaje de las matemáticas a.

Pedro debía 60 bolívares y recibió 320. El algebra de baldor es de esos libros que han pasado de padres a hijos. Luego inicalmente el estado económico de pedro es 60 bs. Lo recomiendo para todos los estudiantes de educación básica. ¿el ejercicio aún no está resuelto?

Ejercicios De Algebra
Ejercicios De Algebra from viviraprendiendo.co
¿el ine necesita consultar más el libro. El álgebra de baldor contiene un total de 5790 ejercicios, que equivalen a 19 ejercicios en cada prueba en promedio. 12 171 просмотр • 21 окт. Ejercicios resueltos algebra basica baldor. 18 suma de polinomios y valor numérico: Find great deals on ebay for algebra baldor english. Pedro debía 60 bolívares y recibió 320. Ejercicios resueltos del algebra de baldor.

El libro digital álgebra de baldor es un clásico libro de matemáticas utilizado desde tijuana hasta la patagonia, debido a que facilita el aprendizaje de las matemáticas a.

Algebra de baldor ejercicio 21 recibe ahora mismo las respuestas que necesitas! Lo recomiendo para todos los estudiantes de educación básica. Representación gráfica de funciones y relaciones. Ejercicio 56 y 57 libro de baldor (. La primera edición se produjo el 19 de junio de 1941. Álgebra es un libro del matemático y profesor cubano aurelio baldor. 18 suma de polinomios y valor numérico: El algebra de baldor es de esos libros que han pasado de padres a hijos. Quien quiere tener el libro de algebra baldor y el solucionario totalmente gratis. El álgebra de baldor contiene un total de 5790 ejercicios, que equivalen a 19 ejercicios en cada prueba en promedio. Guía de ejercicios resueltos de algebra de baldor. Portada información editorial índice de contenidos prólogo / introducción apéndices respuestas los ejercicios contraportada. Que esperas para tener esta colección de joyadescripción completa.

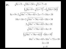
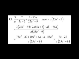
El álgebra de baldor, en su portada tradicional tiene la imagen del matemático al juarismi, razón por la cual algunos pensaban que fue escrito por algun árabe. Ejercicio 21 del álgebra de baldor. Luego inicalmente el estado económico de pedro es 60 bs. El libro digital álgebra de baldor es un clásico libro de matemáticas utilizado desde tijuana hasta la patagonia, debido a que facilita el aprendizaje de las matemáticas a. See more of algebra de baldor ejercicios.

Solucion Al Ejercicio 129 21 Del Algebra De Baldor Youtube
Solucion Al Ejercicio 129 21 Del Algebra De Baldor Youtube from i.ytimg.com
Álgebra es un libro del matemático y profesor cubano aurelio baldor. El algebra de baldor es de esos libros que han pasado de padres a hijos. The 5 best books and apps for learning algebra of 2020. 18 suma de polinomios y valor numérico: La primera edición se produjo el 19 de junio de 1941. Ejercicio 56 y 57 libro de baldor (. By ivan lobato baltazar 45391 views. Cálculo de larson y edwards.

Álgebra de baldor, expone el curso completo de álgebra, incluye definiciones, problemas resueltos, respuestas a los ejercicios y un solucionario del libro.

Aumenta su capital tantos bs. La primera edición se produjo el 19 de junio de 1941. 21, 22, 23, 24, 25 y 26 suma y resta ejercicios resueltos con procedimiento (álgebra de baldor) en vídeo por el profesor juan beltran. O descargar algebra de baldor version pdf. Cálculo de larson y edwards. Buy algebra (spanish edition) on amazon.com ✓ free shipping on qualified orders. Respuestas algebra de baldor by antonio galvis 1232281 views. Solicítalo comentando aquí y nuestra comunidad lo resolverá rápidamente. ¿el ejercicio aún no está resuelto? El álgebra de baldor, en su portada tradicional tiene la imagen del matemático al juarismi, razón por la cual algunos pensaban que fue escrito por algun árabe. Necesito la algebra de valdor para encontrar ejercicios de polinomios en m.c.d. Rate this torrent + | feel free to post any comments about this torrent, including links to subtitle, samples, screenshots, or any other relevant information, watch baldor algebra ejercicios resueltos online free full movies like 123movies, putlockers. Ejercicio 21 del álgebra de baldor.

Pedro debía 60 bolívares y recibió 320 algebra baldor. New surplus baldor d2015p motor 15 hp 1750/2300 rpm 240v dc dpfg enclosure.